期日前投票所の混雑状況
期日前投票所の混雑状況
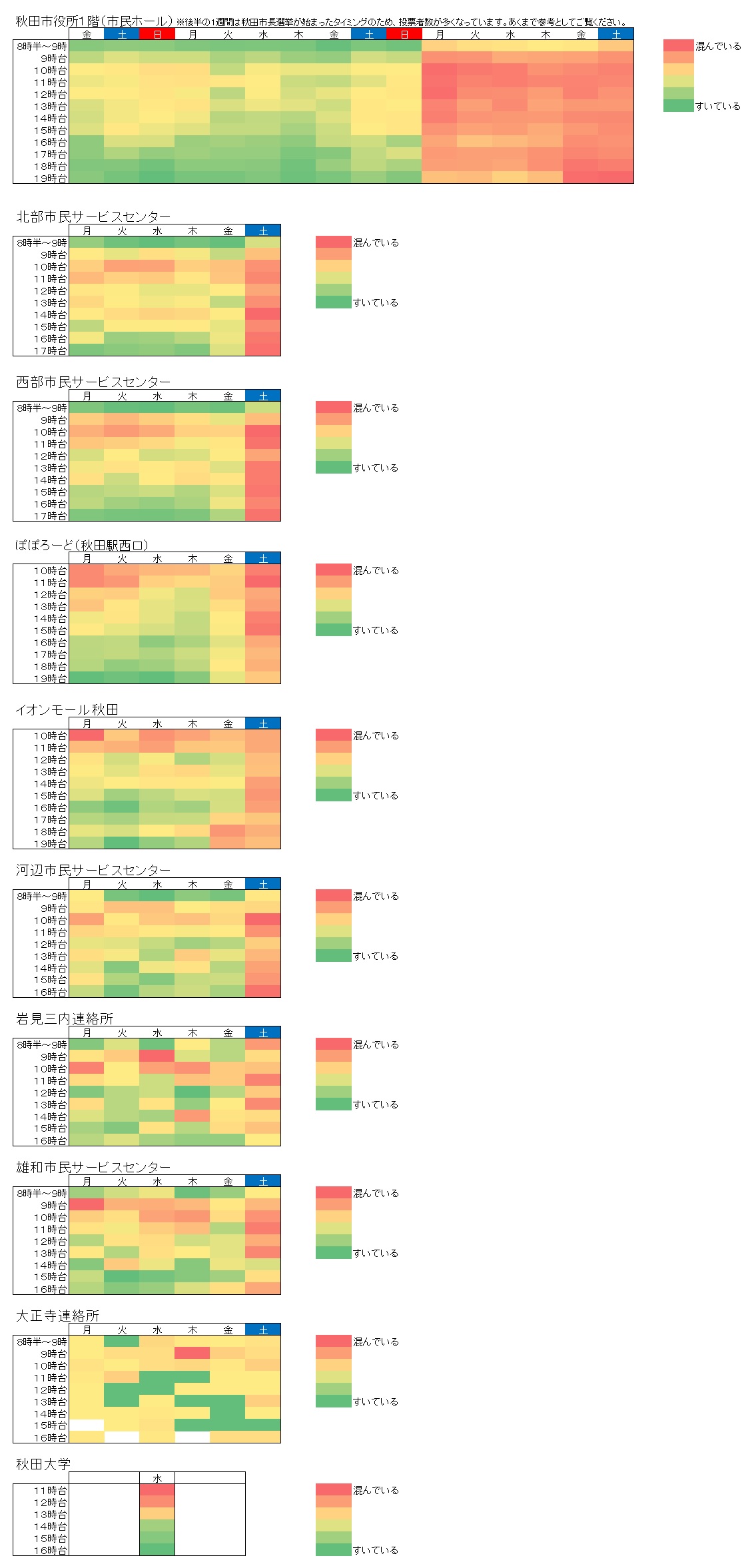
令和7年4月6日執行の秋田県知事選挙における、期日前投票所ごとの、曜日別時間帯別の混雑状況です。
赤色が混んでいるとき、緑色がすいているときです。
混雑する時間帯を避けてご利用いただくと、スムーズに投票できます。
混雑緩和のため、投票時間の分散にご協力をお願いいたします。
最終土曜日は混雑する傾向があります。

よりよいウェブサイトにするために、ページのご感想をお聞かせください。
このページに関するお問い合わせ
秋田市選挙管理委員会 事務局
〒010-8560 秋田市山王一丁目1番1号 本庁舎6階
電話:018-888-5786 ファクス:018-888-5787
お問い合わせは専用フォームをご利用ください。
